Contenido:
Una dilución en serie (dilución seriada o banco de diluciones) es una secuencia de diluciones en la que se reduce la concentración progresivamente.
Normalmente, el factor de dilución es el mismo en cada paso, por lo que las concentraciones de la serie conforman una progresión geométrica.
Las diluciones en serie tienen múltiples aplicaciones, por ejemplo, se usan en estudios serológicos para determinar la cantidad relativa de anticuerpos.
En esta página vamos a ver cómo realizar diluciones seriadas a partir de una disolución madre mediante el traspaso de una determinada cantidad de volumen de un recipiente al siguiente.
Veamos el procedimiento a seguir mediante un ejemplo.

Partimos de una disolución madre y vamos a realizar una serie de tres diluciones de \(18\text{ ml}\) cada una con razón de dilución \(1/10\). Es decir, cada recipiente contiene un volumen de \(18\text{ ml}\) y su concentración es una décima parte de la concentración de la dilución del paso anterior. Esto se consigue pasando un volumen igual, \(x\text{ ml}\), de cada recipiente al recipiente siguiente.
Consideraciones:
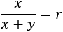
Si \(r\) es la razón de dilución e \(y\) es el volumen final, entonces podemos calcular \(x\) mediante la siguiente fórmula:

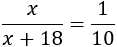
En nuestro ejemplo, \(y = 18\text{ ml}\) y \(r = 1/10\), así que tenemos la ecuación

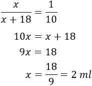
Resolvemos la ecuación:

Por tanto, el volumen de traspaso es \( x = 2\text{ ml}\).
Procedimiento:

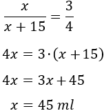
Se desea realizar un banco de 4 diluciones de volumen final \(15\text{ ml}\) y razón geométrica \(3/4\) a partir de una disolución madre.
Preparamos el banco:

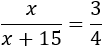
Cada tubo contiene \(15\text{ ml}\) de agua y debemos calcular la cantidad \(x\) a traspasar desde la disolución madre:

Resolvemos la ecuación:

Por tanto, el volumen de traspaso es \( x = 45\text{ ml}\).

Dilución seriada - © - testexamen.com
Testexamen.com
by J. Llopis is licensed under a
Creative
Commons Attribution-NonCommercial 4.0 International License.